近日,精密测量科学与技术创新研究院管习文研究员量子可积课题组与美国马萨诸塞大学adolfo del campo教授、浙江大学gentaro watanabe 教授合作,在一维冷原子系统量子调控研究中取得了新进展,并于10月17日在《自然》的共创子刊《npj:量子信息》(npj:quantum information)杂志在线发表题为an interaction-driven many-particle quantum heat engine and its universal behavior 的研究论文, 参见 。
在该工作中,量子可积研究组及其合作者率先提出了相互作用调控量子热机的构想,运用精确可解模型以及拉亭戈量子液体理论系统计算了相互作用调控量子热机的功及热机效率,发现了在量子临界点附近量子热机具有最大的单粒子平均功,并讨论了实验上的实现方案。该工作从理论研究层面揭示了量子动力学系统的普适特性,并为量子调控和量子气体的实验研究提供了有意义的参考。
量子热机是近年来多体量子物理领域的研究热点问题之一。从理论研究的角度看,传统的量子统计物理对于极低温以及极小尺度的量子动力学行为描述并不完备,作为其基石的各态遍历假说遭遇挑战,这激发了研究者们浓厚的兴趣,量子热机循环作为典型的量子动力学过程,因此受到了广泛的关注。从超冷原子实验的角度看,对于极低温的实验系统,其量子效应占据主导,因此对超冷原子进行操控或进一步降温也必须考虑体系的量子热效应,而这正是量子热机的主要研究内容。
本工作中,量子可积研究组及其合作者创造性地运用了可积模型以及低维量子场论的研究手段,通过严格的计算,分析了由一维接触相互作用玻色气体实现的量子热机循环,得到了热机效率、功等主要参数的解析表达式。作者针对冷原子物理实验的特点,提出了通过调控原子之间相互作用强度实现量子热机循环的构想,理论上证实了相互作用调控可实现和原先人们熟知的磁热、压热效应类似的一种全新的量子热效应。基于对热机循环的分析,本工作理论上完全证明了相互作用调控的量子热机的可实施性,并相应给出了具体的实验实施方案。

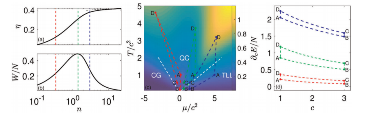
图:a) 效率h、功w和粒子数密度 n的关系 b) 临界区相图及其附件的不同量子热机循环 c)相应的热机循环过程中内能对相互作用强度的变化率。 这里t为温度,m为化学势,c是相互作用强度
本工作中,精密测量科学与技术创新研究院量子可积系统研究组的原博士生陈洋洋和助理研究员余毅聪做了主要理论计算工作;管习文研究员与adolfo del campo教授是该论文的共同通讯作者。该工作得到了国家自然科学基金重点专项基金、面上基金及科技部量子调控重点专项的支持。
另外,管习文研究员与上海交通大学物理与天文学院的邹海源博士,美国乔治梅森大学赵二海教授及李政道研究所讲席教授刘文胜合作研究了zig-zag量子自旋体系中精确可解点与对称保护拓扑相,该工作得到了国家自然科学基金重点专项基金及科技部量子调控重点专项的支持。其结果发表在 physical review letters, 参见 。